Buğra Banaz, Eskişehir Rallisi'ni kazanarak Türkiye Ralli Şampiyonası'nda sezonun son iki yarışı öncesi liderin 18 puan gerisinde 2'nciliğe yükseldi.
Haber Giriş Tarihi: 30.09.2025 16:31
Haber Güncellenme Tarihi: 30.09.2025 16:37
Kaynak:
Aydın Hoşgör
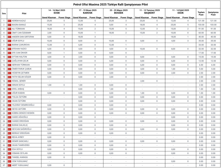
Türkiye Ralli Şampiyonası’nda (TRŞ) sezonun 5’nci ayağı Eskişehir Rallisi’ni kazanarak ‘ev’inde 1’ncilik kupasını kaldıran Eskişehirli genç rallici Buğra Banaz, sezonun son iki yarışına liderin 18 puan ardından 2’ci olarak başlayarak adeta ensesinde boza pişirecek! Kopilotu Onur Ahıskalı ile birlikte Skoda Fabia Rally2 Evo ile yarışan Buğra Banaz, bu sezon ilk tam puanını Bodrum Rallisi’nde aldı. Marnaris’teki Ege Rallisi’nde 3’ncülük puanları ile sezona başlayan Buğra Banaz, Bursa Rallisi’nde ilk gün yaşadığı mekanik sorunlardan dolayı puansız ayrıldı, Kapadokya Rallisi’nde ise 2’nci oldu. Son Eskişehir zaferi sonrası toplam puanını 103’e çıkartarak lider son şampiyon Kerem Kazaz’ın 121 puanına çok yaklaşan Buğra Banaz, sezonun son iki rallisi İstanbul ve Kocaeli’nde de yine hem kazanmaya, hem de şampiyona hedefine çok yakın duruyor. Kendisi de rallici olan babası Ender Banaz’dan aldığı bayrağı zirveye taşıma hedefiyle parkurlardaki rekabete ayrı bir heyecan katan Buğra Banaz’ın Rally2 Evo’su Eskişehir’in önde gelen firması Eti tarafından destekleniyor. Eti’nin sahibi Firuzan Kanatlı’nın da eski bir rallici olması da Buğra için şüphesiz büyük bir avantaj.
Sizlere daha iyi hizmet sunabilmek adına sitemizde çerez konumlandırmaktayız. Kişisel verileriniz, KVKK ve GDPR
kapsamında toplanıp işlenir. Sitemizi kullanarak, çerezleri kullanmamızı kabul etmiş olacaksınız.
En son gelişmelerden anında haberdar olmak için 'İZİN VER' butonuna tıklayınız.
Buğra liderin ensesinde
Buğra Banaz, Eskişehir Rallisi'ni kazanarak Türkiye Ralli Şampiyonası'nda sezonun son iki yarışı öncesi liderin 18 puan gerisinde 2'nciliğe yükseldi.
Türkiye Ralli Şampiyonası’nda (TRŞ) sezonun 5’nci ayağı Eskişehir Rallisi’ni kazanarak ‘ev’inde 1’ncilik kupasını kaldıran Eskişehirli genç rallici Buğra Banaz, sezonun son iki yarışına liderin 18 puan ardından 2’ci olarak başlayarak adeta ensesinde boza pişirecek! Kopilotu Onur Ahıskalı ile birlikte Skoda Fabia Rally2 Evo ile yarışan Buğra Banaz, bu sezon ilk tam puanını Bodrum Rallisi’nde aldı. Marnaris’teki Ege Rallisi’nde 3’ncülük puanları ile sezona başlayan Buğra Banaz, Bursa Rallisi’nde ilk gün yaşadığı mekanik sorunlardan dolayı puansız ayrıldı, Kapadokya Rallisi’nde ise 2’nci oldu. Son Eskişehir zaferi sonrası toplam puanını 103’e çıkartarak lider son şampiyon Kerem Kazaz’ın 121 puanına çok yaklaşan Buğra Banaz, sezonun son iki rallisi İstanbul ve Kocaeli’nde de yine hem kazanmaya, hem de şampiyona hedefine çok yakın duruyor. Kendisi de rallici olan babası Ender Banaz’dan aldığı bayrağı zirveye taşıma hedefiyle parkurlardaki rekabete ayrı bir heyecan katan Buğra Banaz’ın Rally2 Evo’su Eskişehir’in önde gelen firması Eti tarafından destekleniyor. Eti’nin sahibi Firuzan Kanatlı’nın da eski bir rallici olması da Buğra için şüphesiz büyük bir avantaj.
Kaynak: Aydın Hoşgör